您好!欢迎您来到工程管理硕士网!

当前位置 : 主页 > 备考 > 正文

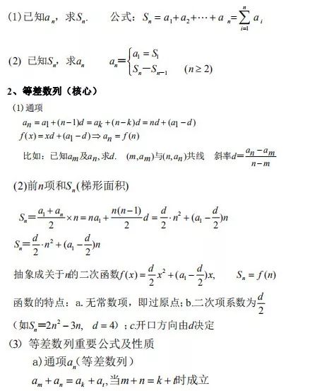
2023年MEM管理类联考数学必备公式大全!

发布时间:2022-07-25 14:02:42    浏览量:

为帮助考生更好的备考MEM管理类联考综合能力考试,今天给大家分享了管综数学必考公式汇总,希望考生能够掌握并运用这些数学公式!

















版权声明:本文内容整理自网络,如有侵权请电话联系17800253047。转载请注明来源!
更多院校MEM项目招生信息请戳链接:http://yuanxiao.mxmem.com/
相关推荐

全国MEM报名服务中心

* 姓       名:
* 电       话:
* 报考院校:

第一时间获得意向MEM院校的招生政策

直接对话MEM招生办公室邀请您拜访学校、参加公开课

独家奖学金申请指导

热门院校排行榜